
MIL-DTL-27723F
3.5.2 Construction.
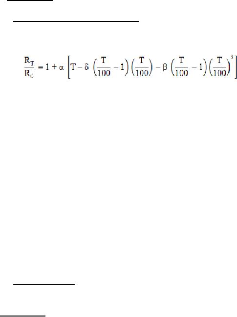
3.5.2.1 Temperature resistance relationship. The temperature sensing element shall be
constructed of pure platinum wire and the temperature versus resistance relationship shall be
accordance with the Callendar-Van Dusen equation:
Where: RT = resistance at temperature T in °C
R0 = resistance at 0°C
α = 0.003925
δ = 1.45
β = 0.0 (for temperatures above 0°C)
β = 0.10 (for temperatures below 0°C)
T = temperature in °C
The resistance of the temperature-sensing element shall be adjusted to 50.00 ohms at 0°C.
Deviations from the Callendar-Van Duse equation over the temperature range of the probe shall
be no greater than allowed by the following equation:
ĆT = ± (0.25 + 0.005T)
Where: T = temperature in °C
ĆT = allowable deviation in °C
When T is below 0°C, the absolute value in °C shall be used in this equation.
3.5.2.2 Hermetic Sealing. The temperature-sensing and deicing elements shall be
hermetically sealed.
3.6 Performance. The probe shall be capable of meeting the requirements specified
herein under the following conditions
a. Temperature temperatures ranging from -70°C to +350°C.
b. Humidity relative humidity up to 100 percent.
c. Vibration vibration in accordance with MIL-STD-810, method 514, operational
conditions for fixed wing jet aircraft.
d. Thermal shock cycling at temperatures ranging from 0°C ±5°C to 200±5°C
alternately for 30 minute periods.
e. Temperature resistance measurable resistance over the range of 0°C to the
boiling point of water.
f. Insulation satisfactory electrical resistance measurements of the temperature-
sensing element after being submerged in water for a period of 8 hours.
g. Salt fog simulated sea salt atmosphere.
h. Fungus fungus as encountered in tropical climates.
i. Sand and dust sand and dust particles as encountered in desert areas.
7
For Parts Inquires call Parts Hangar, Inc (727) 493-0744
© Copyright 2015 Integrated Publishing, Inc.
A Service Disabled Veteran Owned Small Business